题目内容
已知函数
,数列{an}满足a1=1,an+1=f(an)(n∈N+),
(1)求数列{an}的通项公式an;
(2)若数列{bn}满足bn=
anan+1·3n,Sn=b1+b2+…+bn,求Sn。
(1)求数列{an}的通项公式an;
(2)若数列{bn}满足bn=
解:(1)由已知:
,
∴
,
∴
,
∴数列
为首项,3为公比的等比数列,
∴
,
∴
;
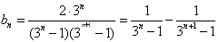
(2)
,
∴
。
∴
∴
∴数列
∴
∴
(2)
∴
练习册系列答案
相关题目