题目内容
曲线
在点
处的切线方程是____________.
【答案】
x-y+1=0
【解析】
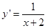
试题分析:函数y=ln(x+2)的导数为
.所以
.所以过点P的直线为y=x+1.即x-y+1=0.本题是一体常见的基础题.过曲线上点作曲线的切线.
考点:1.函数的导数.2.切线方程.
练习册系列答案
相关题目