题目内容
对于命题P:存在一个常数M,使得不等式
对任意正数a,b恒成立,
(1)试猜想常数M的值,并予以证明;
(2)类比命题P,某同学猜想了正确命题Q:存在一个常数M,使得不等式
对任意正数a,b,c恒成立,观察命题P与命题Q的规律,请猜想与正数a,b,c,d相关的正确命题(不需要证明)。
(1)试猜想常数M的值,并予以证明;
(2)类比命题P,某同学猜想了正确命题Q:存在一个常数M,使得不等式
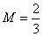
解:(1)令a=b,得
,故
,
先证明:
,
∵a>0,b>0,要证上式,只要证
,
即证
,即证
,这显然成立,
∴
;
再证明:
,
∵a>0,b>0,要证上式,只要证
,
即证
,即证
,这显然成立,
∴
。
(2)存在一个常数M,使得不等式
对任意正数a,b,c,d恒成立。
先证明:
∵a>0,b>0,要证上式,只要证
即证
∴
再证明:
∵a>0,b>0,要证上式,只要证
即证
∴
(2)存在一个常数M,使得不等式
练习册系列答案
相关题目