题目内容

如图,在三棱锥-P-ABCD中,平面ABC⊥平面APC,AB=BC=AP=PC=,∠ABC=∠APC=90°,
(1)求直线PA与平面PBC所成角的正弦值;
(2)若动点M在底面三角形ABC上,二面角M-PA-C的余弦值为,求BM的最小值。

解:(1)取AC中点O,因为AB=BC,
所以OB⊥OC,
∵平面ABC⊥平面APC,平面ABC∩平面APC=AC,
∴OB⊥平面PAC,
∴OB⊥OP,
以O为坐标原点,OB、OC、OP分别为 x、y、z轴
建立如图
所示空间直角坐标系,
因为AB=BC=PA=
所以OB=OC=OP=1,
从而O(0,0,0),B(1,0,0),
A(0,-1,0),C(0,1,0),P(0,0,1),

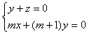
设平面PBC的法向量
得方程组


∴直线PA与平面PBC所成角的正弦值为
(2)由题意平面PAC的法向量
设平面PAM的法向量为

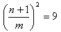
又因为




∴n+1=3m或n+1=-3m(舍去),
∴B点到AM的最小值为垂直距离

练习册系列答案
相关题目

违法和不良信息举报电话:027-86699610 举报邮箱:58377363@163.com

精英家教网