搜索
题目内容
设{a
n
}为等差数列,S
n
为数列{a
n
}的前n项和,已知S
7
=7,S
15
=75,设T
n
为数列
的前n项和,求T
n
。
试题答案
相关练习册答案
解:设等差数列{a
n
}的公差为d,
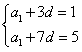
则
,即
,
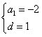
解得
,
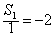
∴
,
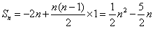
∴
,
∴数列
是等差数列且
,
∴
。
练习册系列答案
小学毕业升学总复习夺冠小状元系列答案
模拟试卷及真题精选系列答案
新课标同步训练系列答案
一线名师口算应用题天天练一本全系列答案
会考通关系列答案
本土精编系列答案
课时练优化测试卷系列答案
桂壮红皮书应用题卡系列答案
快乐过暑假系列答案
同步练习册全优达标测试卷系列答案
相关题目
设a
n
为等差数列,b
n
为等比数列,且a
1
=0,若c
n
=a
n
+b
n
,且c
1
=1,c
2
=1,c
3
=2.
(1)求a
n
的公差d和b
n
的公比q; (2)求数列c
n
的前10项和.
5、设{a
n
}为等差数列,公差d=-2,s
n
为其前n项和,若s
10
=s
11
,则a
1
=( )
A、18
B、20
C、22
D、24
设{a
n
}为等差数列,则下列数列中,成等差数列的个数为( )
①{a
n
2
} ②{pa
n
} ③{pa
n
+q} ④{na
n
}(p、q为非零常数)
A.1
B.2
C.3
D.4
设{a
n
}为等差数列,S
n
为数列{a
n
}的前n项和,已知S
7
=7,S
15
=75.
(Ⅰ)求数列{a
n
}的通项公式;
(2)令b
n
=C
a
n
(注释:b
n
等于C的a
n
次方),(其中C为常数,且C≠0,n∈N
*
),求证:数列{b
n
}为等比数列.
设{a
n
}为等差数列,a
1
>0,a
6
+a
7
>0,a
6
•a
7
<0则使S
n
>0成立的最大的n为( )
A.11
B.12
C.13
D.14
关 闭
试题分类
高中
数学
英语
物理
化学
生物
地理
初中
数学
英语
物理
化学
生物
地理
小学
数学
英语
其他
阅读理解答案
已回答习题
未回答习题
题目汇总
试卷汇总
练习册解析答案