搜索
题目内容
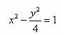
已知双曲线的渐近线为
,且过点
,则此双曲线的标准方程为
.
试题答案
相关练习册答案
答案
练习册系列答案
随堂小考系列答案
成才之路高中新课程学习指导系列答案
同步轻松练习系列答案
课课通课程标准思维方法与能力训练系列答案
钟书金牌教材金练系列答案
名牌学校分层课课练系列答案
培优夺冠王系列答案
百分百夺冠卷系列答案
期末夺冠百分百金牌卷系列答案
同步单元测试AB卷系列答案
相关题目
已知双曲线的渐近线为
y=±
3
x
,焦点坐标为(-4,0),(4,0),则双曲线方程为( )
A.
x
2
8
-
y
2
24
=1
B.
x
1
12
-
y
2
4
=1
C.
x
2
24
-
y
2
8
=1
D.
x
2
4
-
y
2
12
=1
已知双曲线的渐近线为3x±4y=0,且焦距为10,则双曲线标准方程是( )
A.
x
2
9
-
y
2
16
=1
B.
y
2
9
-
x
2
16
=1
C.
x
2
9
+
y
2
16
=1
D.
x
2
16
-
y
2
9
=1
或
y
2
9
-
x
2
16
=1
已知双曲线的渐近线为
y=±
3
3
x
,且过点
(
3
,0)
,则双曲线方程为( )
A.
x
2
3
-
y
2
6
=1
B.
x
2
3
-
y
2
=-1
C.
x
2
3
-
y
2
9
=1
D.
x
2
3
-
y
2
=1
已知双曲线的渐近线为
,焦点坐标为(-4,0),(4,0),则双曲线方程为( )
A.
B.
C.
D.
已知双曲线的渐近线为
,焦点坐标为(-4,0),(4,0),则双曲线方程为( )
A.
B.
C.
D.
关 闭
试题分类
高中
数学
英语
物理
化学
生物
地理
初中
数学
英语
物理
化学
生物
地理
小学
数学
英语
其他
阅读理解答案
已回答习题
未回答习题
题目汇总
试卷汇总
练习册解析答案