题目内容
设{an}是公比大于1的等比数列,Sn为数列{an}的前n项和.已知S3=7,且a1+3,3a2,a3+4构成等差数列.
(Ⅰ)求数列{an}的通项;
(Ⅱ)令bn=lna3n+1,n=1,2,…,求数列{bn}的前n项和Tn.
(Ⅰ)求数列{an}的通项;
(Ⅱ)令bn=lna3n+1,n=1,2,…,求数列{bn}的前n项和Tn.
解:(Ⅰ)由已知得:
,解得a2=2,
设数列{an}的公比为q,由a2=2,可得
,
又S3=7,可知
,即2q2-5q+2=0,解得
,
由题意得q>1,∴q=2,
∴a1=1,
故数列{an}的通项为an=2n-1。
(Ⅱ)由于bn=lna3n+1,n=1,2,…,
由(Ⅰ)得a3n+1=23n,
∴bn=ln23n=3nln2,
又bn+1-bn=31n2,
∴{bn}是等差数列,
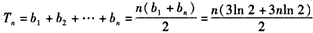
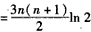
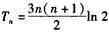
∴
,
故
。
设数列{an}的公比为q,由a2=2,可得
又S3=7,可知
由题意得q>1,∴q=2,
∴a1=1,
故数列{an}的通项为an=2n-1。
(Ⅱ)由于bn=lna3n+1,n=1,2,…,
由(Ⅰ)得a3n+1=23n,
∴bn=ln23n=3nln2,
又bn+1-bn=31n2,
∴{bn}是等差数列,
∴
故
练习册系列答案
相关题目