题目内容
已知定义在R上的奇函数f(x),若f(x)的导函数f'(x)满足f'(x)<x2+1,则不等式A.
B.
C.(0,+∞)
D.[-∞,3)
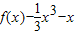
【答案】分析:根据条件构造F(x)=
,利用导数研究函数的单调性,不等式
可转化成F(x)<F(0),根据单调性即可确定结论.
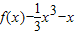
解答:解:令F(x)=
,
∵f'(x)<x2+1,
∴F'(x)=f'(x)-x2-1<0
∴F(x)在R上单调递减
∵R上的奇函数f(x),∴f(0)=0
∴F(0)=0
∴不等式
可转化成F(x)<F(0)
根据F(x)在R上单调递减,可得x>0
故选C.
点评:本题考查学生利用导数研究函数单调性的能力,考查构造新函数解不等式,考查了转化思想,属于中档题.
解答:解:令F(x)=
∵f'(x)<x2+1,
∴F'(x)=f'(x)-x2-1<0
∴F(x)在R上单调递减
∵R上的奇函数f(x),∴f(0)=0
∴F(0)=0
∴不等式
根据F(x)在R上单调递减,可得x>0
故选C.
点评:本题考查学生利用导数研究函数单调性的能力,考查构造新函数解不等式,考查了转化思想,属于中档题.
练习册系列答案
相关题目