题目内容

设集合A={1,a,b},B={a,a2,ab},且A=B,求a2004+b2005.?

解法一:由A=B,有

解方程组得a=1,b为任意实数.?

由集合的互异性,得a≠1.?

a=-1,b=0.故a2004+b2005=1.?

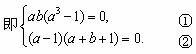
解法二:由A=B,可得?

∵集合中元素互异,∴a≠0,a≠1.?

解方程组,得a=-1,b=0.故a2004+b2005=1.?

点评:解法一是从集合中元素对应相等来建立方程,解法二是依据元素和、积相等来建立方程,两种解法殊途同归,需要注意的是解方程后要代入检验,对不符合题意的ab的值要舍去.

练习册系列答案
相关题目

违法和不良信息举报电话:027-86699610 举报邮箱:58377363@163.com

精英家教网