题目内容
已知函数
。
(1)求函数
的单调区间;
(2)若函数
在
上是减函数,求实数a的取值范围。
(1)求函数
(2)若函数
解:对函数
求导得:
(1)当
时,
令
解得
或
,
解得
,
所以
的单调增区间为
和
,
的单调减区间为
(2)令
,即
,
解得
或
当
时,列表得:

对于
时,因为
,所以
,

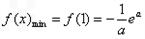
对于
时,由表可知函数在
时取得最小值
所以,当
时,
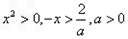
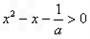
由题意,不等式
对
恒成立,
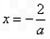
所以得
,解得
(1)当
令
所以
(2)令
解得
当
对于
对于
所以,当
由题意,不等式
所以得
练习册系列答案
相关题目