题目内容
已知an=n+
【答案】分析:根据已知中数列{an}的通项由一个等差数列和一个等比数列相加,可选用拆项法,即分别计算代入公式,求出等差数列和一个等比数列的和,进行解答.
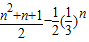
解答:解:∵an=n+
,
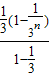
∴数列{an}的前n项和Sn=(1+2+…+n)+(
+
+…+
)=
+
=
故答案为:
点评:本题考查的知识点是数列求和,其中根据已知数列{an}的通项由一个等差数列和一个等比数列相加,而选择使用拆项法求和,是解答的关键.
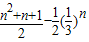
解答:解:∵an=n+
∴数列{an}的前n项和Sn=(1+2+…+n)+(
故答案为:
点评:本题考查的知识点是数列求和,其中根据已知数列{an}的通项由一个等差数列和一个等比数列相加,而选择使用拆项法求和,是解答的关键.
练习册系列答案
相关题目
已知an=log(n+1)(n+2),把能够使乘积a1a2a3…an是整数的数字n称为完美数,则在区间(1,2010)内所有的完美数的和为( )
| A、1024 | B、2003 | C、2026 | D、2048 |