题目内容
在数列{an}中,a1=1、(Ⅰ) 求a3、a4,猜想an的表达式,并加以证明;
(Ⅱ) 设
【答案】分析:(Ⅰ) 利用数列递推式,代入计算可得a3、a4,由此猜想an的表达式,再利用数学归纳法进行证明,证明n=k+1时,由题设与归纳假设,可得结论;
(Ⅱ)先对通项化简,再用裂项法求和,进而利用分析法进行证明即可.
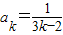
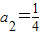
解答:(Ⅰ) 解:(1)∵a1=1、
,且
,
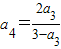
∴a3=
=
,
=
故可以猜想
,下面利用数学归纳法加以证明:
(i) 显然当n=1,2,3,4时,结论成立,
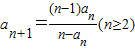
(ii) 假设当n=k(k≥4),结论也成立,即
那么当n=k+1时,由题设与归纳假设可知:
=
=
即当n=k+1时,结论也成立,
综上,
成立.
(Ⅱ)证明:
=
所以b1+b2+…+bn=
=
所以只需要证明
只需证明
只需证明:3n+1<3n+2
+1
只需证明0<2
,显然成立
所以对任意的自然数n∈N*,都有
.
点评:本题考查数列递推式,考查数列通项的猜想与证明,考查数列的求和与分析法证明的运用,属于中档题.
(Ⅱ)先对通项化简,再用裂项法求和,进而利用分析法进行证明即可.
解答:(Ⅰ) 解:(1)∵a1=1、
∴a3=
故可以猜想
(i) 显然当n=1,2,3,4时,结论成立,
(ii) 假设当n=k(k≥4),结论也成立,即
那么当n=k+1时,由题设与归纳假设可知:
即当n=k+1时,结论也成立,
综上,
(Ⅱ)证明:
所以b1+b2+…+bn=
所以只需要证明
只需证明
只需证明:3n+1<3n+2
只需证明0<2
所以对任意的自然数n∈N*,都有
点评:本题考查数列递推式,考查数列通项的猜想与证明,考查数列的求和与分析法证明的运用,属于中档题.
练习册系列答案
相关题目