题目内容
已知数列{an}的通项公式是
【答案】分析:由题意可得Sn=(1+1+…+1)-(
),分别由等差数列和等比数列的求和公式求解可得.
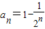
解答:解:∵
,
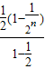
∴Sn=(1-
)+(1-
)+…+(1-
)
=(1+1+…+1)-(
)
=n-
=n-1+
令n-1+
=
,解之可得n=6
故答案为:6
点评:本题考查等比数列和等差数列的求和公式,属中档题.
解答:解:∵
∴Sn=(1-
=(1+1+…+1)-(
=n-
令n-1+
故答案为:6
点评:本题考查等比数列和等差数列的求和公式,属中档题.
练习册系列答案
相关题目
已知数列{an}的通项为an=2n-1,Sn为数列{an}的前n项和,令bn=
,则数列{bn}的前n项和的取值范围为( )
| 1 |
| Sn+n |
A、[
| ||||
B、(
| ||||
C、[
| ||||
D、[
|