题目内容
已知函数f(x)的图象与函数(Ⅰ)求函数f(x)的解析式;
(Ⅱ)若
【答案】分析:(Ⅰ)设f(x)图象上任一点坐标为(x,y),利用点(x,y)关于点A(0,1)的对称点(-x,2-y)在h(x)的图象上,结合函数解析式,即可求得结论;
(Ⅱ)题意可转化为
(x∈(0,2])恒成立,利用分离参数法,再求出函数的最值,从而可求实数a的取值范围.
解答:解:(Ⅰ)设f(x)图象上任一点坐标为(x,y),点(x,y)关于点A(0,1)的对称点(-x,2-y)在h(x)的图象上…(3分)
∴
,
∴
,∴
…(6分)
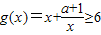
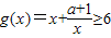
(Ⅱ)由题意
,∴
∵x∈(0,2],∴a+1≥x(6-x),即a≥-x2+6x-1,…(9分)
令q(x)=-x2+6x-1=-(x-3)2+8(x∈(0,2]),
∴x∈(0,2]时,q(x)max=7…(11分)
∴a≥7…(12分)
点评:本题考查函数图象的对称性,考查函数解析式求解,考查恒成立问题,分离参数、求最值是关键.
(Ⅱ)题意可转化为
解答:解:(Ⅰ)设f(x)图象上任一点坐标为(x,y),点(x,y)关于点A(0,1)的对称点(-x,2-y)在h(x)的图象上…(3分)
∴
∴
(Ⅱ)由题意
∵x∈(0,2],∴a+1≥x(6-x),即a≥-x2+6x-1,…(9分)
令q(x)=-x2+6x-1=-(x-3)2+8(x∈(0,2]),
∴x∈(0,2]时,q(x)max=7…(11分)
∴a≥7…(12分)
点评:本题考查函数图象的对称性,考查函数解析式求解,考查恒成立问题,分离参数、求最值是关键.
练习册系列答案
相关题目
已知函数f(x)的图象关于直线x=2对称,且当x≠2时其导函数f′(x)满足xf′(x)>2f′(x),若2<a<4,则下列表示大小关系的式子正确的是( )
| A、f(2a)<f(3)<f(log2a) | B、f(3)<f(log2a)<f(2a) | C、f(log2a)<f(3)<f(2a) | D、f(log2a)<f(2a)<f(3) |