题目内容
在平面直角坐标系x0y中,已知点A(-(Ⅰ)求动点E的轨迹C的方程;
(Ⅱ)设过点F(1,0)的直线l与曲线C相交于不同的两点M,N.若点P在y轴上,且|PM|=|PN|,求点P的纵坐标的取值范围.
【答案】分析:(Ⅰ)设动点E的坐标为(x,y),由点A(-
,0),B(
),E为动点,且直线EA与直线EB的斜率之积为-
,知
,由此能求出动点E的轨迹C的方程.
(Ⅱ)设直线l的方程为y=k(x-1),将y=k(x-1)代入
,得(2k2+1)x2-4k2x+2k2-2=0,由题设条件能推导出直线MN的垂直平分线的方程为y+
=-
,由此能求出点P纵坐标的取值范围.
解答:解:(Ⅰ)设动点E的坐标为(x,y),
∵点A(-
,0),B(
),E为动点,且直线EA与直线EB的斜率之积为-
,
∴
,
整理,得
,x≠
,
∴动点E的轨迹C的方程为
,x
.
(Ⅱ)当直线l的斜率不存在时,满足条件的点P的纵坐标为0,
当直线l的斜率存在时,设直线l的方程为y=k(x-1),
将y=k(x-1)代入
,并整理,得
(2k2+1)x2-4k2x+2k2-2=0,
△=8k2+8>0,
设M(x1,y1),N(x2,y2),则
,x1x2=
,
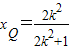
设MN的中点为Q,则
,
,
∴Q(
,-
),
由题意知k≠0,
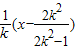
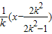
又直线MN的垂直平分线的方程为y+
=-
,
令x=0,得yP=
,
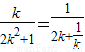
当k>0时,∵2k+
,∴0<
;
当k<0时,因为2k+
≤-2
,所以0>yP≥-
=-
.
综上所述,点P纵坐标的取值范围是[-
].
点评:本题考查动点的轨迹方程的求法,考查点的纵坐标的取值范围的求法,解题时要认真审题,仔细解答,注意直线与椭圆位置的综合运用.
(Ⅱ)设直线l的方程为y=k(x-1),将y=k(x-1)代入
解答:解:(Ⅰ)设动点E的坐标为(x,y),
∵点A(-
∴
整理,得
∴动点E的轨迹C的方程为
(Ⅱ)当直线l的斜率不存在时,满足条件的点P的纵坐标为0,
当直线l的斜率存在时,设直线l的方程为y=k(x-1),
将y=k(x-1)代入
(2k2+1)x2-4k2x+2k2-2=0,
△=8k2+8>0,
设M(x1,y1),N(x2,y2),则
设MN的中点为Q,则
∴Q(
由题意知k≠0,
又直线MN的垂直平分线的方程为y+
令x=0,得yP=
当k>0时,∵2k+
当k<0时,因为2k+
综上所述,点P纵坐标的取值范围是[-
点评:本题考查动点的轨迹方程的求法,考查点的纵坐标的取值范围的求法,解题时要认真审题,仔细解答,注意直线与椭圆位置的综合运用.
练习册系列答案
相关题目