题目内容
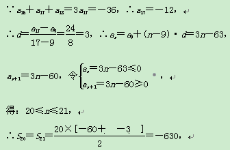
解:(1)设等差数列{an}的首项为a1,公差为d,
∴当n=20或21时,Sn最小且最小值为-630.
(2)由(1)知前20项小于零,第21项等于0,以后各项均为正数.∴当n≤21时,
.