题目内容
已知函数(1)求b的值,并写出f(x)的表达式;
(2)试判断f(x)的单调性,并证明.
【答案】分析:(1)利用奇函数的性质确定b的值.
(2)利用函数的单调性判断函数的单调性.
解答:解:(1)因为函数f(x)的定义域为(-1,1)且f(x)是奇函数,
所以f(0)=0,即f(0)=
,解得b=0.
所以f(x)=
.
(2)函数f(x)为减函数,证明如下
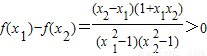
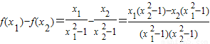
设-1<x1<x2<1,则
=
,
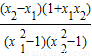
因为-1<x1<x2<1,所以
,1+x1x2>0,
所以
,即f(x1)>f(x2),
所以函数f(x)为减函数.
点评:本题主要考查函数奇偶性和单调性的应用,利用定义法是判断函数单调性的常用方法.
(2)利用函数的单调性判断函数的单调性.
解答:解:(1)因为函数f(x)的定义域为(-1,1)且f(x)是奇函数,
所以f(0)=0,即f(0)=
所以f(x)=
(2)函数f(x)为减函数,证明如下
设-1<x1<x2<1,则
因为-1<x1<x2<1,所以
所以
所以函数f(x)为减函数.
点评:本题主要考查函数奇偶性和单调性的应用,利用定义法是判断函数单调性的常用方法.
练习册系列答案
相关题目