题目内容
过点
【答案】分析:方法一:利用圆的方程相减即可得出两圆相交的交点所在的直线的方程,进而得出椭圆的焦点、顶点,再利用椭圆的性质即可得出方程.
方法二:易知直线x=1是圆的一条切线,即可得出切点为A(1,0);设另一条切线的斜率为k,则切线方程为
,利用切线的性质和点到直线的距离公式可得圆心(0,0)到切线的距离d=r,可得斜率k,进而得到切线方程和切点.
解答:解:方法一:设点P
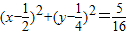
,O(0,0).则以线段OP为直径的圆的方程为:
.与方程x2+y2=1相减得
.
令x=0,得y=2;令y=0,得x=1.
∴焦点为(1,0),上顶点为(0,2).
∴c=1,b=2.a2=b2+c2=5.
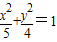
∴椭圆的方程为
.
方法二:易知直线x=1是圆的一条切线,切点为A(1,0);
设另一条切线的斜率为k,则切线方程为
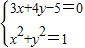
,化为2kx-2y+1-2k=0,则
,解得
,得切线方程为3x+4y-5=0.
联立
解得切点B
.
∴直线AB的方程为:2x+y-2=0.以下同方法一.
点评:熟练掌握椭圆的标准方程及其性质、两圆的根轴方程的求法、直线与圆相切的性质、点到直线的距离公式等是解题的关键.
方法二:易知直线x=1是圆的一条切线,即可得出切点为A(1,0);设另一条切线的斜率为k,则切线方程为
解答:解:方法一:设点P
令x=0,得y=2;令y=0,得x=1.
∴焦点为(1,0),上顶点为(0,2).
∴c=1,b=2.a2=b2+c2=5.
∴椭圆的方程为
方法二:易知直线x=1是圆的一条切线,切点为A(1,0);
设另一条切线的斜率为k,则切线方程为
联立
∴直线AB的方程为:2x+y-2=0.以下同方法一.
点评:熟练掌握椭圆的标准方程及其性质、两圆的根轴方程的求法、直线与圆相切的性质、点到直线的距离公式等是解题的关键.
练习册系列答案
相关题目