题目内容
若?x∈R,使aex≤x(e是自然对数的底数),则a的取值范围是( )A.(-∞,0]
B.
C.(-∞,1]
D.(-∞,e]
【答案】分析:转化aex≤x,为a的不等式,求出表达式的最小值,即可得到a的取值范围.
解答:解:aex≤x(e是自然对数的底数),转化为:
,令y=
,
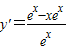
则
,令y′=0,可得x=1,当x=1时函数y取得最小值
,
所以a的取值范围是
.
故选B.
点评:本题考查函数的导数的最值的应用,考查转化思想与计算能力.
解答:解:aex≤x(e是自然对数的底数),转化为:
则
所以a的取值范围是
故选B.
点评:本题考查函数的导数的最值的应用,考查转化思想与计算能力.
练习册系列答案
相关题目