题目内容
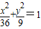
已知点(4,2)是直线l被椭圆
【答案】分析:设l与椭圆的交点为A(x1,y1),B(x2,y2),通过平方差法,求出直线l的斜率.
解答:解:因为点(4,2)是直线l被椭圆
所截得的线段的中点,
设l与椭圆的交点为A(x1,y1),B(x2,y2),
则有
,
两式相减,得kAB=
=-
=-
,
直线l的斜率是
故答案为:
.
点评:本题考查椭圆的中点弦的求法,解题时要注意点差法的合理运用.
解答:解:因为点(4,2)是直线l被椭圆
设l与椭圆的交点为A(x1,y1),B(x2,y2),
则有
两式相减,得kAB=
直线l的斜率是
故答案为:
点评:本题考查椭圆的中点弦的求法,解题时要注意点差法的合理运用.
练习册系列答案
相关题目