题目内容
(1)求证:对任意的正实数x,不等式
都成立.
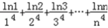
(2)求证:对任意的n∈N*,不等式
总成立.
(2)求证:对任意的n∈N*,不等式
(1)证明:设函数
,
则
.
令f'(x)=0,得x=
.
当
时,f'(x)>0,故函数f(x)在
上递增;
当
时,f'(x)<0,故函数f(x)在
上递减;
所以
,
对任意的x>0,不等式
总成立.
(2)证明:由(1)知:对x∈(0,+∞)均有
,
故
.
当n=1时,结论显然成立;
当n≥2时,有
=
≤
<
=
=
..
综上可知,对任意的n∈N*,不等式
成立.
则
令f'(x)=0,得x=
当
当
所以
对任意的x>0,不等式
(2)证明:由(1)知:对x∈(0,+∞)均有
故
当n=1时,结论显然成立;
当n≥2时,有
≤
=
综上可知,对任意的n∈N*,不等式
练习册系列答案
相关题目