题目内容
已知数列的通项an=-5n+2,则其前n项和Sn= .
【答案】分析:已知数列的通项公式是一次函数形式,则该数列为等差数列,求出首项,再求前n项和.
解答:解:∵数列的通项an=-5n+2,
∴数列是以a1=-3为首项,d=-5公差的等差数列,
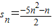
∴其前n项和Sn=
=
.
故答案为:
点评:本题考查了等差数列的通项及求和公式,值得一提的是求和公式的选择可减少计算量.
解答:解:∵数列的通项an=-5n+2,
∴数列是以a1=-3为首项,d=-5公差的等差数列,
∴其前n项和Sn=
故答案为:
点评:本题考查了等差数列的通项及求和公式,值得一提的是求和公式的选择可减少计算量.
练习册系列答案
相关题目
已知数列的通项an=
,则a2009-a2010等于( )
|
| A、2007 | B、2008 |
| C、2009 | D、2010 |