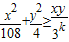
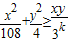
题目内容
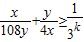
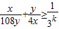
若不等式
【答案】分析:将不等式
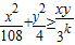
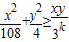
两边同除以xy转化为
,左边用基本不等式,求其最小值,再由“不等式
对于任意正实数x,y总成立”得到
求得k的范围,最后由“成立的必要不充分条件是k∈[m,+∞)”,求得正整数m的取值.
解答:解:不等式
两边同除以xy得:

∵不等式
对于任意正实数x,y总成立
∴
对于任意正实数x,y总成立
∴
∴
∴

又∵总成立的必要不充分条件是k∈[m,+∞),
∴
⊆[m,+∞),
∴正整数m只能取 1或2
故答案为:1或2
点评:本题主要考查不等式恒成立,往往转化为求代数式的最值问题,一般有两种方法,一是基本不等式,二是函数法.
解答:解:不等式
∵不等式
∴
∴
∴
∴
又∵总成立的必要不充分条件是k∈[m,+∞),
∴
∴正整数m只能取 1或2
故答案为:1或2
点评:本题主要考查不等式恒成立,往往转化为求代数式的最值问题,一般有两种方法,一是基本不等式,二是函数法.
练习册系列答案
相关题目