题目内容

定义数列;数列;数列;若的前n项的积为的前n项的和为,那么(    )

A.                          B.2                       C.3                   D.不确定

 

【答案】

A

【解析】

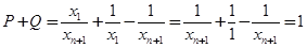
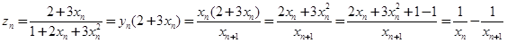
试题分析:由题设可得:.所以.

.

所以.

所以.故选A.

巧解:取,可得故选A.

考点:数列的前项和与积.

 

练习册系列答案
相关题目

违法和不良信息举报电话:027-86699610 举报邮箱:58377363@163.com

精英家教网