题目内容

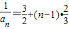
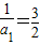
在数列{an}中,a1=,且满足an=(n≥2),则an=   
【答案】分析:利用“取倒数法”和等差数列的通项公式即可得出.
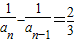
解答:解:∵a1=,且满足an=(n≥2),∴,即
∴数列{}是以为首项,为公差的等差数列;
=

故答案为
点评:熟练掌握取“取倒数法”和等差数列的通项公式是解题的关键.
练习册系列答案
相关题目

违法和不良信息举报电话:027-86699610 举报邮箱:58377363@163.com

精英家教网