题目内容
已知某等差数列共有10项,其奇数项之和为15,偶数项之和为30,则其公差为( )
A.6 B.5 C.4 D.3
【答案】
D
【解析】
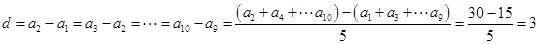
试题分析:由等差数列的定义可知,其公差
,故正确答案为D.
考点:等差数列定义、前
项和的性质.
练习册系列答案
相关题目
题目内容
已知某等差数列共有10项,其奇数项之和为15,偶数项之和为30,则其公差为( )
A.6 B.5 C.4 D.3
D
【解析】
试题分析:由等差数列的定义可知,其公差
,故正确答案为D.
考点:等差数列定义、前
项和的性质.