题目内容
椭圆A.
B.
C.
D.
【答案】分析:先根据椭圆方程求得a和c,及左右焦点的坐标,进而根据三角形内切圆面积求得内切圆半径,进而根据△ABF2的面积=△AF1F2的面积+△BF1F2的面积求得△ABF2的面积=3|y2-y1|进而根据内切圆半径和三角形周长求得其面积,建立等式求得|y2-y1|的值.
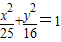
解答:解:椭圆:
,a=5,b=4,∴c=3,
左、右焦点F1(-3,0)、F2( 3,0),
△ABF2的内切圆面积为π,则内切圆的半径为r=
,
而△ABF2的面积=△AF1F2的面积+△BF1F2的面积=
×|y1|×|F1F2|+
×|y2|×|F1F2|=
×(|y1|+|y2|)×|F1F2|=3|y2-y1|(A、B在x轴的上下两侧)
又△ABF2的面积═
×|r(|AB|+|BF2|+|F2A|=
×
(2a+2a)=a=5.
所以 3|y2-y1|=5,
|y2-y1|=
.
故选A.
点评:本题主要考查了直线与圆锥曲线的综合问题,椭圆的简单性质,三角形内切圆性质,本题的关键是求出△ABF2的面积,属于中档题.
解答:解:椭圆:
左、右焦点F1(-3,0)、F2( 3,0),
△ABF2的内切圆面积为π,则内切圆的半径为r=
而△ABF2的面积=△AF1F2的面积+△BF1F2的面积=
又△ABF2的面积═
所以 3|y2-y1|=5,
|y2-y1|=
故选A.
点评:本题主要考查了直线与圆锥曲线的综合问题,椭圆的简单性质,三角形内切圆性质,本题的关键是求出△ABF2的面积,属于中档题.
练习册系列答案
相关题目