题目内容


在平面直角坐标系xOy中,已知圆Px轴上截得线段长为2,在y轴上截得线段长为2.

(1)求圆心P的轨迹方程;

(2)若P点到直线yx的距离为,求圆P的方程.


解 (1)设P(xy),圆P的半径为r.

由题设y2+2=r2x2+3=r2.从而y2+2=x2+3.

P点的轨迹方程为y2x2=1.

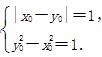
(2)设P(x0y0),由已知得

P在双曲线y2x2=1上,从而得

此时,圆P半径r.

此时,圆P的半径r.

故圆P的方程为x2+(y-1)2=3或x2+(y+1)2=3.


练习册系列答案
相关题目

违法和不良信息举报电话:027-86699610 举报邮箱:58377363@163.com

精英家教网