题目内容

为了测量两山顶M、N间的距离,飞机沿水平方向在A、B两点进行测量,A、B、M、N在同一个铅垂平面内,飞机能够测量的数据有俯角和A、B间的距离,请设计一个方案,包括:①指出需要测量的数据(用字母表示,并在图中标出);②用文字和公式写出计算M、N间的距离的步骤。
解:①需要测量的数据有:A点到M、N点的俯角α1、 β1;B点到M、N点的俯角α2、β2;A、B的距离d(如图所示);
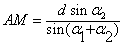
②第一步:计算AM。
由正弦定理
第二步:计算AN。
由正弦定理
第三步:计算MN。
由余弦定理
练习册系列答案
相关题目

违法和不良信息举报电话:027-86699610 举报邮箱:58377363@163.com

精英家教网