题目内容
已知F1,F2是椭圆(1)求椭圆的离心率;
(2)设直线PF2与椭圆相交于A,B两点,M是直线PF2上的动点,满足
【答案】分析:(1)由题意可知P在第一象限,且PF2=F1F2,由两点间的距离公式求出PF2的长度,利用PF2=2c列式可求椭圆的离心率;
(2)由P和F2的坐标写出PF2的斜率,写出直线方程,和椭圆方程联立求出A点坐标,可知B得坐标,设出M的坐标后得到向量
的坐标,代入
=-2后整理可得点M的轨迹方程.
解答:解:(1)由△F1PF2为等腰三角形,若PF1=PF2,则P点在y轴上,与P(a,b)矛盾,
所以PF2=F1F2,所以PF2=2c,
由F2(c,0),所以
=(a-c)2+b2=4c2,把b2=a2-c2代入得,
a2-2ac+c2+a2-c2=4c2,整理得:2c2+ac-a2=0.
即2e2+e-1=0,(2e-1)(e+1)=0,解得:
;
(2)直线PA为
,
又a=2c,所以PA方程为
.
代入椭圆方程得A交点为(
),B为(0,-b).
设M(x,y),
则
,
.
由
=-2,得
,
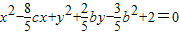
整理得
.
点评:本题考查了圆锥曲线的轨迹方程问题,考查了椭圆的简单几何性质,训练了平面向量在解题中的应用,解答此题的关键是明确P点的坐标与椭圆的长半轴和短半轴一致,此题是中档题.
(2)由P和F2的坐标写出PF2的斜率,写出直线方程,和椭圆方程联立求出A点坐标,可知B得坐标,设出M的坐标后得到向量
解答:解:(1)由△F1PF2为等腰三角形,若PF1=PF2,则P点在y轴上,与P(a,b)矛盾,
所以PF2=F1F2,所以PF2=2c,
由F2(c,0),所以
a2-2ac+c2+a2-c2=4c2,整理得:2c2+ac-a2=0.
即2e2+e-1=0,(2e-1)(e+1)=0,解得:
(2)直线PA为
又a=2c,所以PA方程为
代入椭圆方程得A交点为(
设M(x,y),
则
由
整理得
点评:本题考查了圆锥曲线的轨迹方程问题,考查了椭圆的简单几何性质,训练了平面向量在解题中的应用,解答此题的关键是明确P点的坐标与椭圆的长半轴和短半轴一致,此题是中档题.
练习册系列答案
相关题目