题目内容
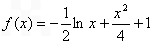
已知函数
.
(Ⅰ)当
时,求f(x)在区间
上的最值;
(Ⅱ)讨论函数f(x)的单调性;
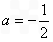
(Ⅲ)当-1<a<0时,有
恒成立,求a的取值范围.
(Ⅰ)当
(Ⅱ)讨论函数f(x)的单调性;
(Ⅲ)当-1<a<0时,有
解:(Ⅰ)当
时,
,
∴
.
∵f(x)的定义域为
,
∴由
得x=1.
∴f(x)在区间
上的最值只可能在
取到,
而
,
∴
.
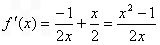
(Ⅱ)
.
①当a+1≤0,即a≤-1时,f′(x)<0∴f(x)在
单调递减
②当a≥0时,f′(x)>0∴f(x)在
单调递增;
③当
时,由f′(x)>0得
∴
或
(舍去)
∴
在
单调递增,在
上单调递减;
综上,当a≥0时,
在
单调递增;
当-1<a<0时,
在
单调递增,在
上单调递减.
当a≤-1时,
在
单调递减;
(Ⅲ)由(Ⅱ)知,当-1<a<0时,
即原不等式等价于
即
整理得
∴
,
又∵-1<a<0,所以a的取值范围为
.
∴
∵f(x)的定义域为
∴由
∴f(x)在区间
而
∴
(Ⅱ)
①当a+1≤0,即a≤-1时,f′(x)<0∴f(x)在
②当a≥0时,f′(x)>0∴f(x)在
③当
∴
∴
综上,当a≥0时,
当-1<a<0时,
当a≤-1时,
(Ⅲ)由(Ⅱ)知,当-1<a<0时,
即原不等式等价于
即
∴
又∵-1<a<0,所以a的取值范围为
练习册系列答案
相关题目