题目内容
化简方程A.
+
=1 B.
+
=1
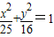
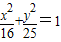
C.
+
=1 D.
+
=1
C
解析:两边平方,去根号化简很麻烦.这里应将
+
看作点(x,y)到两定点F1(0,-3)、F2(0,3)的距离之和,从而利用椭圆定义化简方程将简便得多.
练习册系列答案
相关题目
题目内容
化简方程A.
+
=1 B.
+
=1
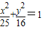
C.
+
=1 D.
+
=1
C
解析:两边平方,去根号化简很麻烦.这里应将
+
看作点(x,y)到两定点F1(0,-3)、F2(0,3)的距离之和,从而利用椭圆定义化简方程将简便得多.