题目内容
化简方程A.
B.
C.
D.
【答案】分析:方程
=10,它的几何意义是动点P(x,y)到定点(0,-3)与到定点(0,3)的距离之和为10,从而轨迹为椭圆,故可求.
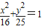
解答:解:方程
=10,
它的几何意义是动点P(x,y)到定点(0,-3)与到定点(0,3)的距离之和为10>6,
从而轨迹为椭圆,焦点在y轴上,
且 a=5,c=3,∴b=4,
其标准方程为:
故选C.
点评:本题考查圆锥曲线的定义,考查方程的几何意义,考查椭圆的标准方程,是个简单题.
解答:解:方程
它的几何意义是动点P(x,y)到定点(0,-3)与到定点(0,3)的距离之和为10>6,
从而轨迹为椭圆,焦点在y轴上,
且 a=5,c=3,∴b=4,
其标准方程为:
故选C.
点评:本题考查圆锥曲线的定义,考查方程的几何意义,考查椭圆的标准方程,是个简单题.
练习册系列答案
相关题目