搜索
题目内容
一物体受到与它运动方向相同的力:
的作用,(x 的单位:m, F的单位:N),则它从
运动到
时
所做的功等于
J
。
试题答案
相关练习册答案
解析
练习册系列答案
授之以渔全国各省市中考试题精选系列答案
中考巨匠系列答案
大舍文化指点中考系列答案
大舍文化中考试题精编系列答案
超能学典中考全面出击系列答案
天利38套5加15年真题加1年模拟试题系列答案
宇轩图书中考真题加名校模拟详解详析系列答案
决胜新中考学霸宝典系列答案
天利38套常考基础题系列答案
智乐文化中考全真模拟试卷尖子生热身用系列答案
相关题目
一物体受到与它运动方向相同的力:
F(x)=
e
x
10
+x
的作用,(x 的单位:m,F的单位:N),则它从x=0运动到x=1时F(x)所做的功等于
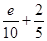
e
10
+
2
5
e
10
+
2
5
.
一物体受到与它运动方向相同的力:
的作用,(x 的单位:m, F的单位:N),则它从
运动到
时
所做的功等于
J
。
一物体受到与它运动方向相同的力:
F(x)=
e
x
10
+x
的作用,(x 的单位:m,F的单位:N),则它从x=0运动到x=1时F(x)所做的功等于______.
一物体受到与它运动方向相同的力:
的作用,(x 的单位:m,F的单位:N),则它从x=0运动到x=1时F(x)所做的功等于
.
一物体受到与它运动方向相同的力:
的作用,(x 的单位:m, F的单位:N),则它从
运动到
时
所做的功等于
J
。
关 闭
试题分类
高中
数学
英语
物理
化学
生物
地理
初中
数学
英语
物理
化学
生物
地理
小学
数学
英语
其他
阅读理解答案
已回答习题
未回答习题
题目汇总
试卷汇总
练习册解析答案