题目内容
已知
。
(1)求证f(x)是定义域内的增函数;
(2)求f(x)的值域.
(1)求证f(x)是定义域内的增函数;
(2)求f(x)的值域.
(1)证明:f(x)
,
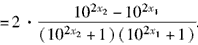
令x2>x1,
则f(x2)-f(x1)=
,
∵10x为增函数,
∴当x2>x1时,
,
又
,
故当x2>x1时,f(x2)-f(x1)>0,即f(x2)>f(x1),
所以f(x)是增函数.
(2)解:令y=f(x),由y=
,解得102x=
,
∵102x>0,
∴-1<y<1,
即f(x)的值域为(-1,1).
令x2>x1,
则f(x2)-f(x1)=
∵10x为增函数,
∴当x2>x1时,
又
故当x2>x1时,f(x2)-f(x1)>0,即f(x2)>f(x1),
所以f(x)是增函数.
(2)解:令y=f(x),由y=
∵102x>0,
∴-1<y<1,
即f(x)的值域为(-1,1).
练习册系列答案
相关题目