搜索
题目内容
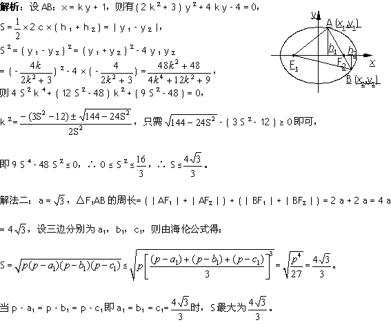
设点F
1
是椭圆
+
= 1的左焦点,弦AB过该椭圆的右焦点F
2
,试求△F
1
AB的面积的最大值。
试题答案
相关练习册答案
练习册系列答案
名师金卷系列答案
课堂作业武汉出版社系列答案
黄冈天天练口算题卡系列答案
全优读本系列答案
同步练习四川教育出版社系列答案
长江全能学案实验报告系列答案
读写双优阅读与写作专项训练系列答案
新课标指导系列答案
口算速算天天练系列答案
花山小状元小学生100全优卷系列答案
相关题目
设点F
1
是椭圆
x
2
12
+
y
2
3
=1
的左焦点,弦AB过椭圆的右焦点,则△F
1
AB的面积的最大值是( )
A.6
B.12
C.
3
3
D.
6
3
(2013•潮州二模)已知椭圆C的两个焦点为F
1
(-1,0),F
2
(1,0),点
A(1,
2
2
)
在椭圆C上.
(1)求椭圆C的方程;
(2)已知点B(2,0),设点P是椭圆C上任一点,求
PF
1
•
PB
的取值范围.
设点F
1
是椭圆
的左焦点,弦AB过椭圆的右焦点,求△F
1
AB的面积的最大值.
设点F
1
是椭圆
的左焦点,弦AB过椭圆的右焦点,则△F
1
AB的面积的最大值是( )
A.6
B.12
C.
D.
关 闭
试题分类
高中
数学
英语
物理
化学
生物
地理
初中
数学
英语
物理
化学
生物
地理
小学
数学
英语
其他
阅读理解答案
已回答习题
未回答习题
题目汇总
试卷汇总
练习册解析答案