题目内容
设点F1是椭圆A.6
B.12
C.
D.
【答案】分析:设出直线AB的方程与椭圆的方程联立,得到根与系数的关系,再利用三角形的面积公式即可得出不等式,利用基本不等式的性质即可求出.
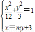
解答:解:设直线AB的方程为x=my+3,联立
消去x得(m2+4)y2+6my-3=0.
设A(x1,y1),B(x2,y2).则
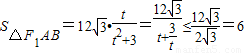
.
.
令
,则t≥1.
∴
.(当且仅当t=3时等号成立)
因此△F1AB的面积的最大值是6.
故选A.
点评:熟练掌握直线与椭圆相交问题的解题模式、根与系数的关系、基本不等式的性质是解题的关键.
解答:解:设直线AB的方程为x=my+3,联立
令
∴
因此△F1AB的面积的最大值是6.
故选A.
点评:熟练掌握直线与椭圆相交问题的解题模式、根与系数的关系、基本不等式的性质是解题的关键.
练习册系列答案
相关题目