题目内容
若a2+b2=2c2(c≠0),则直线ax+by+c=0被圆x2+y2=1所截得的弦长为( )A.
B.1
C.
D.
【答案】分析:求出圆心到直线的距离,利用弦心距、半径、半弦长满足勾股定理,求出半弦长,即可求出结果.
解答:解:圆的圆心(0,0)到直线ax+by+c=0的距离为:
,
因为a2+b2=2c2(c≠0),
所以
=
=
,
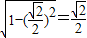
半弦长为:
,
所以直线ax+by+c=0被圆x2+y2=1所截得的弦长为:
.
故选D.
点评:本题是基础题,考查直线被圆截得的弦长的求法,注意点到直线的距离公式的应用,弦心距、半径、半弦长满足勾股定理,是快速解题的关键.
解答:解:圆的圆心(0,0)到直线ax+by+c=0的距离为:
因为a2+b2=2c2(c≠0),
所以
半弦长为:
所以直线ax+by+c=0被圆x2+y2=1所截得的弦长为:
故选D.
点评:本题是基础题,考查直线被圆截得的弦长的求法,注意点到直线的距离公式的应用,弦心距、半径、半弦长满足勾股定理,是快速解题的关键.
练习册系列答案
相关题目