题目内容
已知数列
的前
项和为
,且
=
,数列
中,
,点
在直线
上.
(1)求
,
,
;
(2)求数列
,
的通项
和
;
(3)设
,求数列
的前
项和
,并求满足
的最大正整数
.
答案
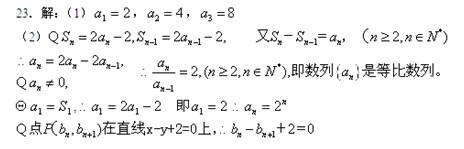
![]()
,即数列
是等差数列,又
,![]()
(3)![]()
![]()
![]()
因此:
即:![]()
![]()
![]()
练习册系列答案
相关题目
题目内容
已知数列
的前
项和为
,且
=
,数列
中,
,点
在直线
上.
(1)求
,
,
;
(2)求数列
,
的通项
和
;
(3)设
,求数列
的前
项和
,并求满足
的最大正整数
.
答案
![]()
,即数列
是等差数列,又
,![]()
(3)![]()
![]()
![]()
因此:
即:![]()
![]()
![]()