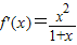
题目内容
已知函数(Ⅰ)当k=2时,求曲线y=f(x)在点(1,f(1))处的切线方程;
(Ⅱ)求f(x)的单调区间.
【答案】分析:(I)根据导数的几何意义求出函数f(x)在x=1处的导数,从而求出切线的斜率,然后求出切点坐标,再用点斜式写出直线方程,最后化简成一般式即可;
(II)先求出导函数f'(x),讨论k=0,0<k<1,k=1,k>1四种情形,在函数的定义域内解不等式fˊ(x)>0和fˊ(x)<0即可.
解答:解:(I)当K=2时,
由于
所以曲线y=f(x)在点(1,f(1))处的切线方程为
.即3x-2y+2ln2-3=0
(II)f'(x)=
当k=0时,
因此在区间(-1,0)上,f'(x)>0;在区间(0,+∞)上,f'(x)<0;
所以f(x)的单调递增区间为(-1,0),单调递减区间为(0,+∞);
当0<k<1时,
,得
;
因此,在区间(-1,0)和
上,f'(x)>0;在区间
上,f'(x)<0;
即函数f(x)的单调递增区间为(-1,0)和
,单调递减区间为(0,
);
当k=1时,
.f(x)的递增区间为(-1,+∞)
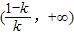
当k>1时,由
,得
;
因此,在区间
和(0,+∞)上,f'(x)>0,在区间
上,f'(x)<0;
即函数f(x)的单调递增区间为
和(0,+∞),单调递减区间为
.
点评:本题主要考查了利用导数研究曲线上某点切线方程,以及函数的单调性等基础知识,考查运算求解能力、推理论证能力,考查数形结合思想、化归与转化思想、分类讨论的数学思想,属于基础题.
(II)先求出导函数f'(x),讨论k=0,0<k<1,k=1,k>1四种情形,在函数的定义域内解不等式fˊ(x)>0和fˊ(x)<0即可.
解答:解:(I)当K=2时,
由于
(II)f'(x)=
当k=0时,
因此在区间(-1,0)上,f'(x)>0;在区间(0,+∞)上,f'(x)<0;
所以f(x)的单调递增区间为(-1,0),单调递减区间为(0,+∞);
当0<k<1时,
因此,在区间(-1,0)和
即函数f(x)的单调递增区间为(-1,0)和
当k=1时,
当k>1时,由
因此,在区间
即函数f(x)的单调递增区间为
点评:本题主要考查了利用导数研究曲线上某点切线方程,以及函数的单调性等基础知识,考查运算求解能力、推理论证能力,考查数形结合思想、化归与转化思想、分类讨论的数学思想,属于基础题.
练习册系列答案
相关题目