题目内容
双曲线的焦点在x轴上,实轴长为4,离心率为3,则该双曲线的标准方程为 ,渐近线方程为 .
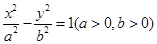
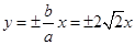
【答案】
;
.
【解析】
试题分析:由题意设双曲线的标准方程为
,则
,即
,
,则
,所以双曲线的标准方程为
,渐近线方程为
.
考点:双曲线的标准方程及性质.
练习册系列答案
相关题目
双曲线的焦点在x轴上,一条渐近线方程为y=2x,则双曲线的离心率为( )
| A、5 | ||||
B、
| ||||
C、
| ||||
D、
|