题目内容
设Sn=1+2+3+…+n,n∈N*,求
【答案】分析:由Sn=1+2+3+…+n,n∈N*,我们不难给出Sn,及Sn+1的值,进而求出f(n)的解析式,然后利用求函数最值的办法,求f(n)的最大值.
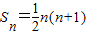
解答:解:由等差数列求和公式得
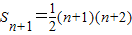
,
∴
=
=
=
≤
∴当且仅当
=
,,即n=8时,

点评:本题考查的知识点是等差数列的前n项和,熟练掌握并应用等差数列的前n项和公式,是解决本题的关键,另外在求出函数f(n)的解析式后,对分母的取值范围进行分析时,我们也可以利用基本不等式处理.
解答:解:由等差数列求和公式得
∴
=
=
=
∴当且仅当
点评:本题考查的知识点是等差数列的前n项和,熟练掌握并应用等差数列的前n项和公式,是解决本题的关键,另外在求出函数f(n)的解析式后,对分母的取值范围进行分析时,我们也可以利用基本不等式处理.
练习册系列答案
相关题目
设Sn=1+2+3+…+n,n∈N*,则函数f(n)=
的最大值为( )
| Sn |
| (n+32)Sn+1 |
A、
| ||
B、
| ||
C、
| ||
D、
|