题目内容
在平面直角坐标系xoy中,已知圆C的圆心在第二象限,半径为(1)求圆C的方程;
(2)圆C上是否存在点Q,使O、Q关于直线CF(C为圆心,F为椭圆右焦点)对称,若存在,请求出点Q的坐标;若不存在,请说明理由.
【答案】分析:(1)根据圆的切线的性质可知,圆心所在直线与切线垂直,又因为圆过原点,半径为
,即可求出圆方程.
(2)又椭圆的定义可求出椭圆方程,假设圆C上存在点Q,使O、Q关于直线CF对称,根据圆方程和椭圆方程求出直线CF的方程,设出Q点的坐标,因为O、Q关于直线CF对称,所以直线OQ垂直于直线CF,斜率等于直线CF斜率的负倒数,且O,Q的中点在直线CF上,满足直线CF的方程,据此,即可求Q点坐标,若能求出,则存在,若求不出,则不存在.
解答:解:(1)由题意知:圆心(-2,2),半径
,圆C:(x+2)2+(y-2)2=8
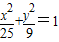
(2)由条件可知a=5,椭圆
,
∴F(4,0)
若存在,直线CF的方程的方程为
即x+3y-4=0
设Q(x,y),则
,
解得
,所以存在点Q,Q的坐标为
.
点评:本题主要考查了圆的切线的性质,圆的标准方程的求法,以及解析几何中的对称性问题,属于常规题.
(2)又椭圆的定义可求出椭圆方程,假设圆C上存在点Q,使O、Q关于直线CF对称,根据圆方程和椭圆方程求出直线CF的方程,设出Q点的坐标,因为O、Q关于直线CF对称,所以直线OQ垂直于直线CF,斜率等于直线CF斜率的负倒数,且O,Q的中点在直线CF上,满足直线CF的方程,据此,即可求Q点坐标,若能求出,则存在,若求不出,则不存在.
解答:解:(1)由题意知:圆心(-2,2),半径
(2)由条件可知a=5,椭圆
∴F(4,0)
若存在,直线CF的方程的方程为
设Q(x,y),则
解得
点评:本题主要考查了圆的切线的性质,圆的标准方程的求法,以及解析几何中的对称性问题,属于常规题.
练习册系列答案
相关题目