题目内容
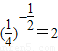
幂函数y=f(x)的图象经过点(4,A.1
B.2
C.3
D.4
【答案】分析:先设出幂函数解析式来,再通过经过点(4,
),解得参数,从而求得其解析式,再代入
求f(
)的值.
解答:解:设幂函数为:y=xα
∵幂函数的图象经过点(4,
),
∴
=4α
∴α=-
∴y=
则f(
)的值为:
.
故选B.
点评:本题主要考查幂函数求解析式和求函数值问题.幂函数要求较低,属于基础题.
解答:解:设幂函数为:y=xα
∵幂函数的图象经过点(4,
∴
∴α=-
∴y=
则f(
故选B.
点评:本题主要考查幂函数求解析式和求函数值问题.幂函数要求较低,属于基础题.
练习册系列答案
相关题目