题目内容
参数方程
【答案】分析:由参数方程解出
,利用cos2θ+sin2θ=1化简,即得所求椭圆的普通方程.
解答:解:由参数方程
,得
∵cos2θ+sin2θ=1,
∴(
)2+(
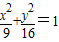
)2=1,化简得
,即为椭圆的普通方程
故答案为:
点评:本题给出椭圆的参数方程,求它的普通方程.着重考查了同角三角函数的关系和椭圆的参数方程与普通方程互化等知识,属于基础题.
解答:解:由参数方程
∵cos2θ+sin2θ=1,
∴(
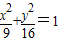
故答案为:
点评:本题给出椭圆的参数方程,求它的普通方程.着重考查了同角三角函数的关系和椭圆的参数方程与普通方程互化等知识,属于基础题.
练习册系列答案
相关题目