题目内容
已知抛物线y=-(1)求直线l的方程;
(2)求△AOB的面积.
【答案】分析:(1)设直线l的方程为y=kx-1,A(x1,y1),B(x2,y2),与抛物线的方程联立得到根与系数关系,再利用斜率计算公式及OA和OB的斜率之和为1.即可得出k.
(2)解法1:利用根与系数的关系可得
,|OM|=1.再利用
即可.
解法2:利用弦长公式
.及点到直线的距离公式可得h=
.利用
.即可.
解答:解:(1)显然直线l的斜率必存在,设直线l的方程为y=kx-1,A(x1,y1),B(x2,y2),
由
得x2+2kx-2=0,
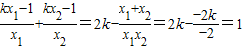
∴x1+x2=-2k,x1x2=-2.
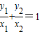
∵
,
∴
,解得k=1
所以直线l的方程为y=x-1.
(2)解法1:∵
,|OM|=1.
∴
.
解法2:∵
.
h=
.
.
点评:熟练掌握直线与抛物线相交问题转化为方程联立得到根与系数的关系、斜率计算公式、弦长公式及其三角形的面积计算公式扥公式解题的关键.
(2)解法1:利用根与系数的关系可得
解法2:利用弦长公式
解答:解:(1)显然直线l的斜率必存在,设直线l的方程为y=kx-1,A(x1,y1),B(x2,y2),
由
∴x1+x2=-2k,x1x2=-2.
∵
∴
所以直线l的方程为y=x-1.
(2)解法1:∵
∴
解法2:∵
h=
点评:熟练掌握直线与抛物线相交问题转化为方程联立得到根与系数的关系、斜率计算公式、弦长公式及其三角形的面积计算公式扥公式解题的关键.
练习册系列答案
相关题目