题目内容
设数列{an}满足:a1=2,an+1=an+
(n=1,2,3,…)。
(1)证明:
对一切n恒成立;
(2)令
,判断bn与bn+1的大小,并说明理由。
(1)证明:
(2)令
解:(1)当n=1时,
,不等式成立
假设n=k成立,
成立
当n=k+1时,![]()
∴
时,
时成立
综上由数学归纳法可知,
对一切正整数成立。
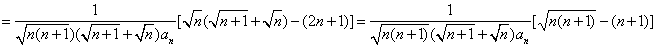
(2)![]()
![]()
![]()
![]()
所以
。
练习册系列答案
相关题目
题目内容
解:(1)当n=1时,
,不等式成立
假设n=k成立,
成立
当n=k+1时,![]()
∴
时,
时成立
综上由数学归纳法可知,
对一切正整数成立。
(2)![]()
![]()
![]()
![]()
所以
。