题目内容
椭圆A.(0,
B.[
C.(0,
D.[
【答案】分析:首先根据椭圆方程,求出它的离心率为:e=
,然后设点椭圆上P的坐标为(x,y),满足∠F1PF2=
,利用数量积为0列出关于x、y和a、c的等式.接下来利用椭圆方程消去y,得到关于x的式子,再利用椭圆上点横坐标的范围:-a≤x≤a,建立关于字母a的不等式,最后解此不等式得出a的范围,代入离心率关于a的表达式,即可得到该椭圆的离心率的取值范围.
解答:解:∵椭圆方程为:
+y2=0,
∴b2=1,可得c2=a2-1,c=
∴椭圆的离心率为e=
又∵椭圆上一点P,使得角∠F1PF2=
,
∴设点P的坐标为(x,y),结合F1(-c,0),F2(c,0),
可得
=(-c-x,-y),
=(c-x,-y),
∴
=
+
=0…①
∵P(x,y)在椭圆
+y2=1上,
∴
=1-
,代入①可得
+1-
=0
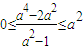
将c2=a2-1代入,得
-a2-
+2=0,所以
=
,
∵-a≤x≤a
∴
,即
,解之得1<a2≤2
∴椭圆的离心率e=
=
∈[
,1).
点评:本题给出一个特殊的椭圆,在已知椭圆上一点对两个焦点张角为直角的情况下,求椭圆离心率的取值范围,着重考查了椭圆的标准方程和简单几何性质,属于中档题.
解答:解:∵椭圆方程为:
∴b2=1,可得c2=a2-1,c=
∴椭圆的离心率为e=
又∵椭圆上一点P,使得角∠F1PF2=
∴设点P的坐标为(x,y),结合F1(-c,0),F2(c,0),
可得
∴
∵P(x,y)在椭圆
∴
将c2=a2-1代入,得
∵-a≤x≤a
∴
∴椭圆的离心率e=
点评:本题给出一个特殊的椭圆,在已知椭圆上一点对两个焦点张角为直角的情况下,求椭圆离心率的取值范围,着重考查了椭圆的标准方程和简单几何性质,属于中档题.
练习册系列答案
相关题目