题目内容
函数
的部分图象如图所示,则函数
对应的解析式为( )
![]()
A.
B.![]()
C.
D.![]()
【答案】
A
【解析】
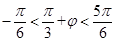
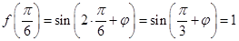
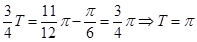
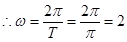
试题分析:由图象知
,
,
,
,
,因为
,所以
,所以
,因此
,故选A.
考点:1.三角函数的图象;2.三角函数的解析式
练习册系列答案
相关题目
题目内容
函数
的部分图象如图所示,则函数
对应的解析式为( )
![]()
A.
B.![]()
C.
D.![]()
A
【解析】
试题分析:由图象知
,
,
,
,
,因为
,所以
,所以
,因此
,故选A.
考点:1.三角函数的图象;2.三角函数的解析式