题目内容
已知两条直线l1:y=m 和l2:y=
【答案】分析:由题意设A,B,C,D各点的横坐标分别为xA,xB,xC,xD,依题意可求得为xA,xB,xC,xD的值,a=|xA-xC|,b=|xB-xD|,下面利用基本不等式可求最小值.
解答:解:设A,B,C,D各点的横坐标分别为xA,xB,xC,xD,
则-log2xA=m,log2xB=m;-log2xC=
,log2xD=
;
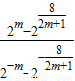
∴xA=2-m,xB=2m,xC=
,xD=
.
∴a=|xA-xC|,b=|xB-xD|,
∴
=
=2m•
=
又m>0,∴m+
=
(2m+1)+
-
≥2
-
=
,
当且仅当
,即m=
时取“=”号,
∴
≥
=8
,
故答案为:8
.
点评:本题考查对数函数图象与性质的综合应用,理解投影的概念并能把问题转化为基本不等式求最值是解决问题的关键,属中档题.
解答:解:设A,B,C,D各点的横坐标分别为xA,xB,xC,xD,
则-log2xA=m,log2xB=m;-log2xC=
∴xA=2-m,xB=2m,xC=
∴a=|xA-xC|,b=|xB-xD|,
∴
又m>0,∴m+
当且仅当
∴
故答案为:8
点评:本题考查对数函数图象与性质的综合应用,理解投影的概念并能把问题转化为基本不等式求最值是解决问题的关键,属中档题.
练习册系列答案
相关题目
已知两条直线l1:y=x,l2:ax-y=0,其中a为实数,当这两条直线的夹角在(0,
)内变动时,a的取值范围是( )
| π |
| 12 |
| A、(0,1) | ||||||
B、(
| ||||||
C、(
| ||||||
D、(1,
|
已知两条直线l1:y-3=k1(x-1),l2:y-3=k2(x-2),则下列说法正确的是( )
| A、l1与l2一定相交 | B、l1与l2一定平行 | C、l1与l2一定相交或平行 | D、以上说法都不对 |